bevictor伟德官方app下载 - bevictor伟德官方网站
中国地质大学
洪山区教育局
首页
校情总揽
学校简介
现任领导
校园风景
学校荣誉
平安校园
教育教学
情智课堂
第二课堂
家长课堂
情智云讲坛
我看新课标
bevictor伟德官方网站
真美德育
教师风采
教师荣誉
真美教师
教师工作室
学生天地
学生荣誉
学生美文
党建引领
党建动态
工会之家
团少活动
关工委活动
教育帮扶
数字服务
视频中心
首页
学校动态
通知公告
校情总揽
学校简介
现任领导
校园风景
学校荣誉
平安校园
教育教学
情智课堂
第二课堂
家长课堂
情智云讲坛
我看新课标
bevictor伟德官方网站
真美德育
教师风采
教师荣誉
真美教师
教师工作室
学生天地
学生荣誉
学生美文
党建引领
党建动态
工会之家
团少活动
关工委活动
教育帮扶
数字服务
视频中心
教育教学
当前位置:
首页
/
教育教学
/
我看新课标
/
正文
情智课堂
第二课堂
家长课堂
情智云讲坛
我看新课标
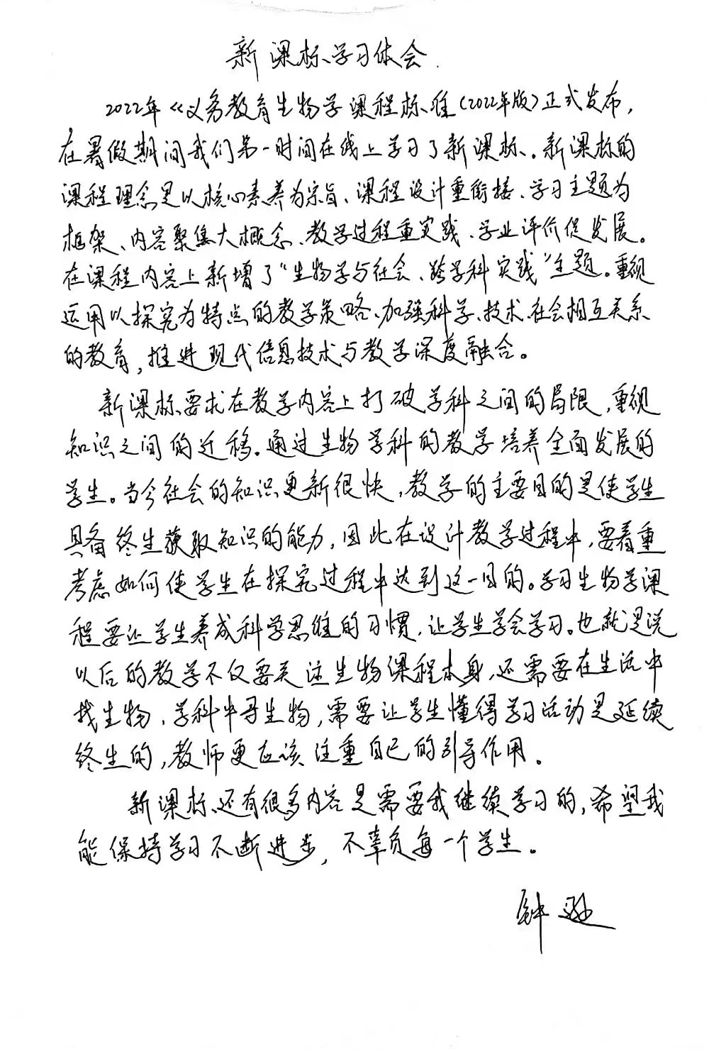
新课标学习心得(钟逊)
发布时间:2022-10-25 浏览量:
钟逊
(编辑|吴瑛婷 审核|张瑞生 周良军)
上一篇:2022年版“道法新课标”学习心得体会(黄晓莉)
下一篇:初中物理课程标准心得(赵凤霞)
Produced By 大汉网络 大汉版通发布系统